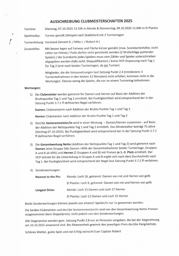
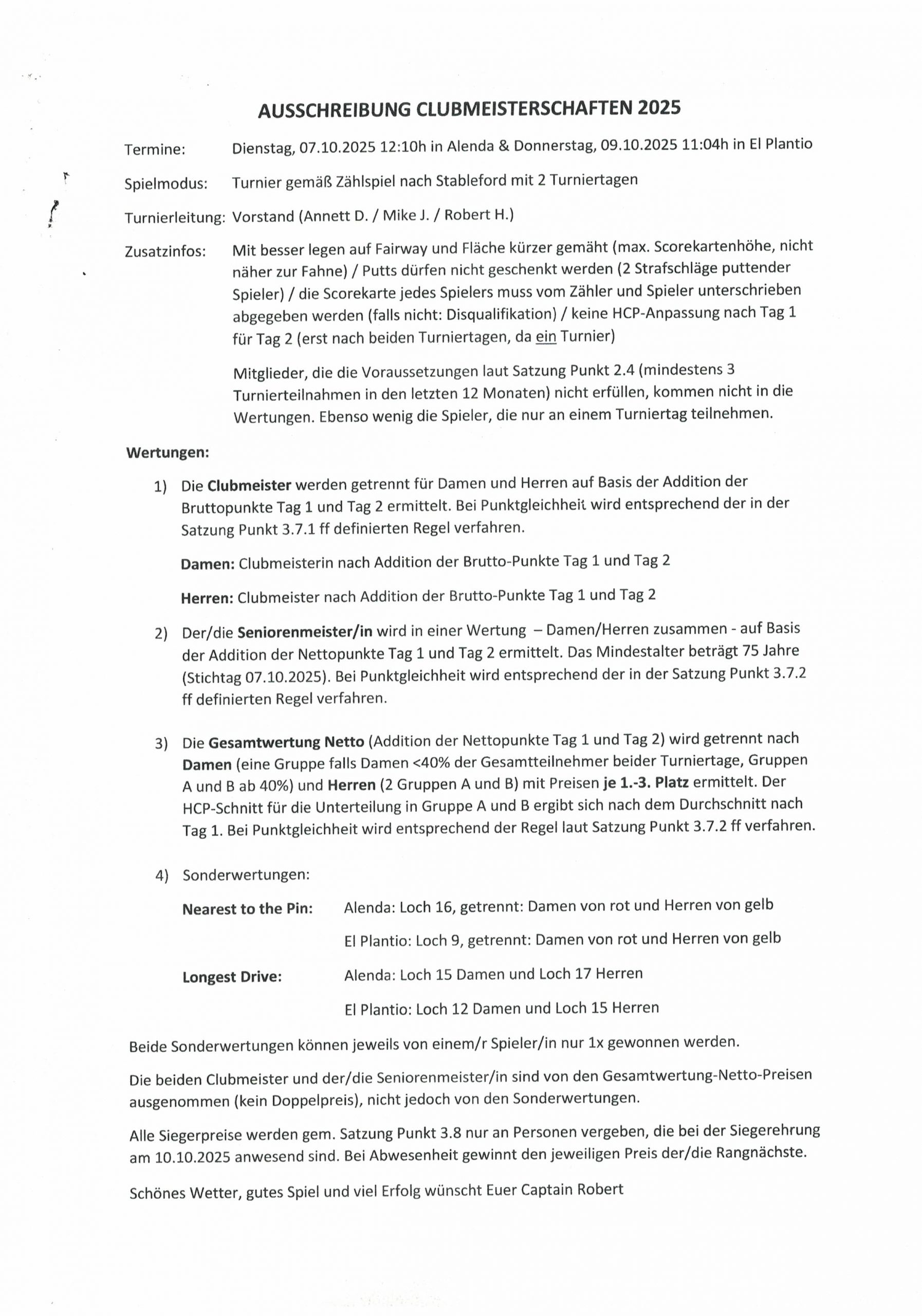
Was soll ich sagen? Das Berichte schreiben ist so gar nicht mein Ding. Aber was tut man nicht alles für eine gute Flasche Rotwein und eine so nette Gemeinschaft.
Die Befürchtungen, dass wir, oder besser die Bälle, wieder weggeweht werden bestätigte sich zumindest beim Start nicht. Die neue Variante mit der Vorankündigung der Startzeiten hat wohl auch wieder super geklappt. Für mich war es diesmal zwar nicht so prickelnd, da ich im ersten Flight war, aber irgendjemand muss es ja erwischen. Ist eine super Sache und nochmals besten Dank an die Organisatoren. Bei für die Jahreszeit tollem Wetter und guten Platzverhältnissen sind wir gestartet. Wie gesagt war ich im ersten Flight, zusammen mit KP und zwei seiner Freunde aus seinem Heimatclub. Alle drei waren in ihren Heimatfarben gekleidet und ich wurde als „Gast“ liebevoll aufgenommen und hatte eine tolle und entspannte Runde. Bei den beiden Gästen von KP lief es manchmal nicht so rund. Sie mussten aber auch mit dem abgelegten Equipment von KP klarkommen.
Geschenke habe ich auch gut abgesahnt. Eine Flasche Rotwein,
- Netto Klasse B (Schachtel) einen Birdie und nearest to the pin. Bei letzterem hatte ich Glück bei meinem Schlag und dass der Wind für die Nachfolgenden stärker wurde.
Also dachte ich „sportlich ganz gut dabei“. Doch das wurde dann durch das Ergebnis von Uli mehr als getoppt. Sagenhafte Runde mit 76 Schlägen auf dem Platz (32 Brutto-, 47 Nettopunkte). Allerhöchsten Respekt für diese Leistung und das auch noch bei immer stärker werdenden Wind. Die restlichen Ergebnisse seht Ihr wie immer in den Turnierdaten.
Ich freue mich schon auf die nächste Runde mit Euch in Oliva Nova und denkt daran, das Golfen ist nur ein Spiel und jeder spielt gegen sich allein. Bis dahin Euch allen eine schöne Zeit. Jürgen Nemitz





























